![]() |
| Vía Giphy |
En esta entrada tenéis un formulario para repasar las ecuaciones logarítmicas.
Formulario de repaso
También tenéis una entrada con vídeos caseros míos para que podáis ver la teoría y algunos ejercicios. Haz clic sobre la imagen de Vídeos
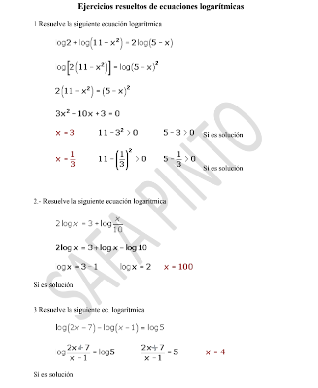
Ejercicio resueltos:
Pincha sobre la imagen para ampliarla
Ejercicios de logaritmos resueltos (II):
Ejercicios para resolver









