Aquí os pondré las respuestas de los ejercicios que os he propuesto en el muro. Están cronológicamente ordenado de forma INVERSA, los más actuales al principio.
Ejercicios día 24 abril.
Enlaces a los ejercicios de repaso previos al examen del 27 de abril de estadística.
Ejercicios día 24 abril.
Enlaces a los ejercicios de repaso previos al examen del 27 de abril de estadística.
Unidimensional: https://tecnocienciamacnolo.blogspot.com/2020/04/estadistica-unidimensional-repaso.html
Bidimensinal: https://tecnocienciamacnolo.blogspot.com/2020/04/video-de-estadistica-bidimensional-4eso.html
Ejercicios día 2 abril.
Ejercicios 29 y 30 pág 279
Ejercicios día 1 abril
Ejercicio 14 pág 275 y 25 pág 277
Ejercicios día 31 marzo
Ejercicios 5 y 7 del capítulo 3 Estadística bidimensional.. Vídeo casero mío. Me estoy aficionando a esto.😜
Ejercicios día 27 marzo
Ejercicio 4 de página 269
Está en YouTube por la capacidad, cada vez son más largos.
Ejercicios día 20 marzo
Ejercicios 8b y 10 página 188
Ejercicios día 18 marzo
Corrección vídeo de ejercicios 16 marzo
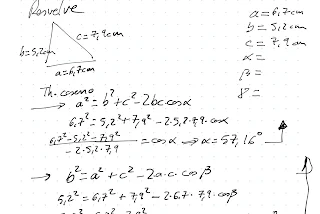
Demostración y ecuación trigonométrica.
Corrección vídeo de ejercicios 13 viernes marzo
Bidimensinal: https://tecnocienciamacnolo.blogspot.com/2020/04/video-de-estadistica-bidimensional-4eso.html
Ejercicios día 2 abril.
Ejercicios 29 y 30 pág 279
Ejercicios día 1 abril
Ejercicio 14 pág 275 y 25 pág 277
Ejercicios día 31 marzo
Ejercicios 5 y 7 del capítulo 3 Estadística bidimensional.. Vídeo casero mío. Me estoy aficionando a esto.😜
Ejercicios día 27 marzo
Ejercicio 4 de página 269
Está en YouTube por la capacidad, cada vez son más largos.
Ejercicios día 20 marzo
Ejercicios 8b y 10 página 188
Ejercicios día 18 marzo
Corrección vídeo de ejercicios 16 marzo
Demostración y ecuación trigonométrica.
Estos son los tres problemas propuestos este día
Corrección vídeo de ejercicios 13 viernes marzo
Corregidlos en vuestro cuaderno. Es un poco experimental.
Lamento lo mal que se me da esto. El último será mejor😜.




